Les fonctions
-
Matthieu
Les fonctions
Bonjour,
J'ai un exercice à faire sur les fonction pôlynomes du second degré et je bloque sur la première question : En effet je ne voie pas comment trouver des points communs aux deux paraboles.
L'exercice est en pièce jointe
Ma première piste est celle ci : - 3x² + 6x + 1 = x² + 4x - 5
Mais je ne voie pas comment continuer... (peut être que ma piste n'est pas bonne)
Merci d'avance pour votre aide
Bonne soirée;
J'ai un exercice à faire sur les fonction pôlynomes du second degré et je bloque sur la première question : En effet je ne voie pas comment trouver des points communs aux deux paraboles.
L'exercice est en pièce jointe
Ma première piste est celle ci : - 3x² + 6x + 1 = x² + 4x - 5
Mais je ne voie pas comment continuer... (peut être que ma piste n'est pas bonne)
Merci d'avance pour votre aide
Bonne soirée;
-
SoS-Math(9)
- Messages : 6351
- Enregistré le : mer. 5 sept. 2007 12:10
Re: Les fonctions
Bonsoir Matthieu,
Ta piste est bonne ... il faut juste transformer - 3x² + 6x + 1 = x² + 4x - 5 en ax² + bx + c = 0 et résoudre cette équation !
SoSMath.
Ta piste est bonne ... il faut juste transformer - 3x² + 6x + 1 = x² + 4x - 5 en ax² + bx + c = 0 et résoudre cette équation !
SoSMath.
-
Matthieu
Re: Les fonctions
Bonjour,
Comme vous me l'aviez dit j'ai fait l'équation ax + bx + c = 0 et mon raisonnement se trouve sur la feuille en pièce jointe.
Pouvez vous me dire si j'ai raison ?
Merci par avance.
Bonne journée.
Comme vous me l'aviez dit j'ai fait l'équation ax + bx + c = 0 et mon raisonnement se trouve sur la feuille en pièce jointe.
Pouvez vous me dire si j'ai raison ?
Merci par avance.
Bonne journée.
-
SoS-Math(9)
- Messages : 6351
- Enregistré le : mer. 5 sept. 2007 12:10
Re: Les fonctions
Bonjour Matthieu,
C'est très bien.
Bonne continuation.
SoSMath.
C'est très bien.
Bonne continuation.
SoSMath.
-
Matthieu
Re: Les fonctions
Bonjour,
Je suis maintenant bloqué sur la question 2 de l'exercice :
Pour rappel la question est : Résoudre l'inéquation -3x² +6x +1 <= x² +4x -5
J'ai donc fait = - 4x² +2x +6 <= 0
Mais ensuite je ne voie pas comment faire ?
Pouvez-vous m'aider.
Meci d'avance.
Je suis maintenant bloqué sur la question 2 de l'exercice :
Pour rappel la question est : Résoudre l'inéquation -3x² +6x +1 <= x² +4x -5
J'ai donc fait = - 4x² +2x +6 <= 0
Mais ensuite je ne voie pas comment faire ?
Pouvez-vous m'aider.
Meci d'avance.
-
SoS-Math(30)
- Messages : 585
- Enregistré le : lun. 12 oct. 2015 10:32
Re: Les fonctions
Bonjour Mathieu,
A la question 1, tu as trouvé les valeurs de x qui annulent ce polynôme de degré 2, tu dois maintenant trouver les valeurs de x pour lesquelles ce polynôme est négatif ou nul.
Dans ton cours, as-tu un résultat, une méthode pour dresser le tableau de signe des polynômes de degré 2 ?
SoSMath
A la question 1, tu as trouvé les valeurs de x qui annulent ce polynôme de degré 2, tu dois maintenant trouver les valeurs de x pour lesquelles ce polynôme est négatif ou nul.
Dans ton cours, as-tu un résultat, une méthode pour dresser le tableau de signe des polynômes de degré 2 ?
SoSMath
-
Matthieu
Re: Les fonctions
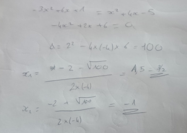
Après votre remarque j'ai donc fait un tableau de signes avec x1 et x2 que j'avais calculé à la question précedente:
Mon raisonnement est sur la photo
Cela veut donc dire que sur les intervalles ] - infinie ; -1] et [ 1,5 ; + infinie [ La fonction -3x +6x +1 est plus petite que x² +4x -5.
Ai-je bon ?
Merci d'avance.
Mon raisonnement est sur la photo
Cela veut donc dire que sur les intervalles ] - infinie ; -1] et [ 1,5 ; + infinie [ La fonction -3x +6x +1 est plus petite que x² +4x -5.
Ai-je bon ?
Merci d'avance.
-
SoS-Math(9)
- Messages : 6351
- Enregistré le : mer. 5 sept. 2007 12:10
Re: Les fonctions
C'est très bien Matthieu.
SoSMath.
SoSMath.
-
Matthieu
Re: Les fonctions
Pour la question 3 (voir photo au premier message) je pense que:
De - infinie à -1 P est plus petite que P ' , de -1 à 1,5 la fonction -3x² +6x +1 est plus grand que P et de 1,5 jusqu'à l'infinie P est plus petite que la fonction x² +4x -5.
J'aimerai bien savoir si mon interprétation graphique est bonne
Merci d'avance.
Bonne soirée.
De - infinie à -1 P est plus petite que P ' , de -1 à 1,5 la fonction -3x² +6x +1 est plus grand que P et de 1,5 jusqu'à l'infinie P est plus petite que la fonction x² +4x -5.
J'aimerai bien savoir si mon interprétation graphique est bonne
Merci d'avance.
Bonne soirée.
-
SoS-Math(9)
- Messages : 6351
- Enregistré le : mer. 5 sept. 2007 12:10
Re: Les fonctions
Matthieu,
Pour les courbes on ne parle pas de plus petit ou plus grand ... on parle de leur position relative (dessous ou dessus).
Par exemple, si sur un intervalle \(I\) on a f(x) < g(x), alors sur \(I\) la courbe de f est dessous celle de g.
Je te laisse interpréter pour P et P'.
SoSMath.
Pour les courbes on ne parle pas de plus petit ou plus grand ... on parle de leur position relative (dessous ou dessus).
Par exemple, si sur un intervalle \(I\) on a f(x) < g(x), alors sur \(I\) la courbe de f est dessous celle de g.
Je te laisse interpréter pour P et P'.
SoSMath.
-
Matthieu
Re: Les fonctions
Donc cela donne :
Sur l'intervalle ] - infinie ; -1] on a P < P ' donc la courbe de P est en dessous de celle de P'.
Sur l'intervalle [ -1 : 1,5 ] on a P > P ' donc la courbe de P est au dessus de celle de P'.
Sur l'intervalle [1,5 + infinie [ on a P < P' donc la cour de P est en dessuous de celle de P'.
Ai je bon ?
Merci de votre aide.
Bonne soirée.
Sur l'intervalle ] - infinie ; -1] on a P < P ' donc la courbe de P est en dessous de celle de P'.
Sur l'intervalle [ -1 : 1,5 ] on a P > P ' donc la courbe de P est au dessus de celle de P'.
Sur l'intervalle [1,5 + infinie [ on a P < P' donc la cour de P est en dessuous de celle de P'.
Ai je bon ?
Merci de votre aide.
Bonne soirée.
-
sos-math(21)
- Messages : 10401
- Enregistré le : lun. 30 août 2010 11:15
Re: Les fonctions
Bonsoir,
tu as étudié la position relative de P et P' de manière globale et il faut que tu reviennes à la question \(-3x^2 + 6x + 1 \leqslant x^2 + 4x - 5\).
Sur les intervalles ... .... P est en-dessous de P'.
Bonne conclusion
tu as étudié la position relative de P et P' de manière globale et il faut que tu reviennes à la question \(-3x^2 + 6x + 1 \leqslant x^2 + 4x - 5\).
Sur les intervalles ... .... P est en-dessous de P'.
Bonne conclusion
