Devoir Maison trigonométrie
-
Laetitia
Devoir Maison trigonométrie
Bonjour, vous trouverez en fichier joint mon énoncé ainsi que mes réponses.
Pour la question 2), j'ai fait une équation cartésienne pour déterminer les coordonnées de M. Est-elle juste ?
Cordialement.
Pour la question 2), j'ai fait une équation cartésienne pour déterminer les coordonnées de M. Est-elle juste ?
Cordialement.
-
SoS-Math(25)
- Messages : 1867
- Enregistré le : mer. 2 nov. 2011 09:39
Re: Devoir Maison trigonométrie
Bonjour Lætitia,
Il y a plusieurs erreurs dans ta réponse à la question 2). En particulier, les vecteurs \(\vec{OM}\) et \(\vec{OI}\) ne sont pas colinéaires.
Ici, il faut simplement déterminer les coordonnées du point M dans ton dessin. (Abscisse, Ordonnée).
A bientôt !
Il y a plusieurs erreurs dans ta réponse à la question 2). En particulier, les vecteurs \(\vec{OM}\) et \(\vec{OI}\) ne sont pas colinéaires.
Ici, il faut simplement déterminer les coordonnées du point M dans ton dessin. (Abscisse, Ordonnée).
A bientôt !
-
Laetitia
Re: Devoir Maison trigonométrie
Bonsoir,
Donc 2), M(racine de 2/2; racine de 2/2)
Pour la 3), on se place dans le triangle IOM, mais on ne connaît pas les longueurs de OM et OI, donc je ne sais pas comment faire.
Cordialement.
Donc 2), M(racine de 2/2; racine de 2/2)
Pour la 3), on se place dans le triangle IOM, mais on ne connaît pas les longueurs de OM et OI, donc je ne sais pas comment faire.
Cordialement.
-
SoS-Math(25)
- Messages : 1867
- Enregistré le : mer. 2 nov. 2011 09:39
Re: Devoir Maison trigonométrie
Il y a plusieurs possibilités ici.
En nommant H et le pied de la perpendiculaire à (OI) passant par M. Tu auras deux triangles rectangles en H.
Tu connais les distances OM, HM et OH. Je te laisse finir.
A bientôt !
En nommant H et le pied de la perpendiculaire à (OI) passant par M. Tu auras deux triangles rectangles en H.
Tu connais les distances OM, HM et OH. Je te laisse finir.
A bientôt !
-
Laetitia
Re: Devoir Maison trigonométrie
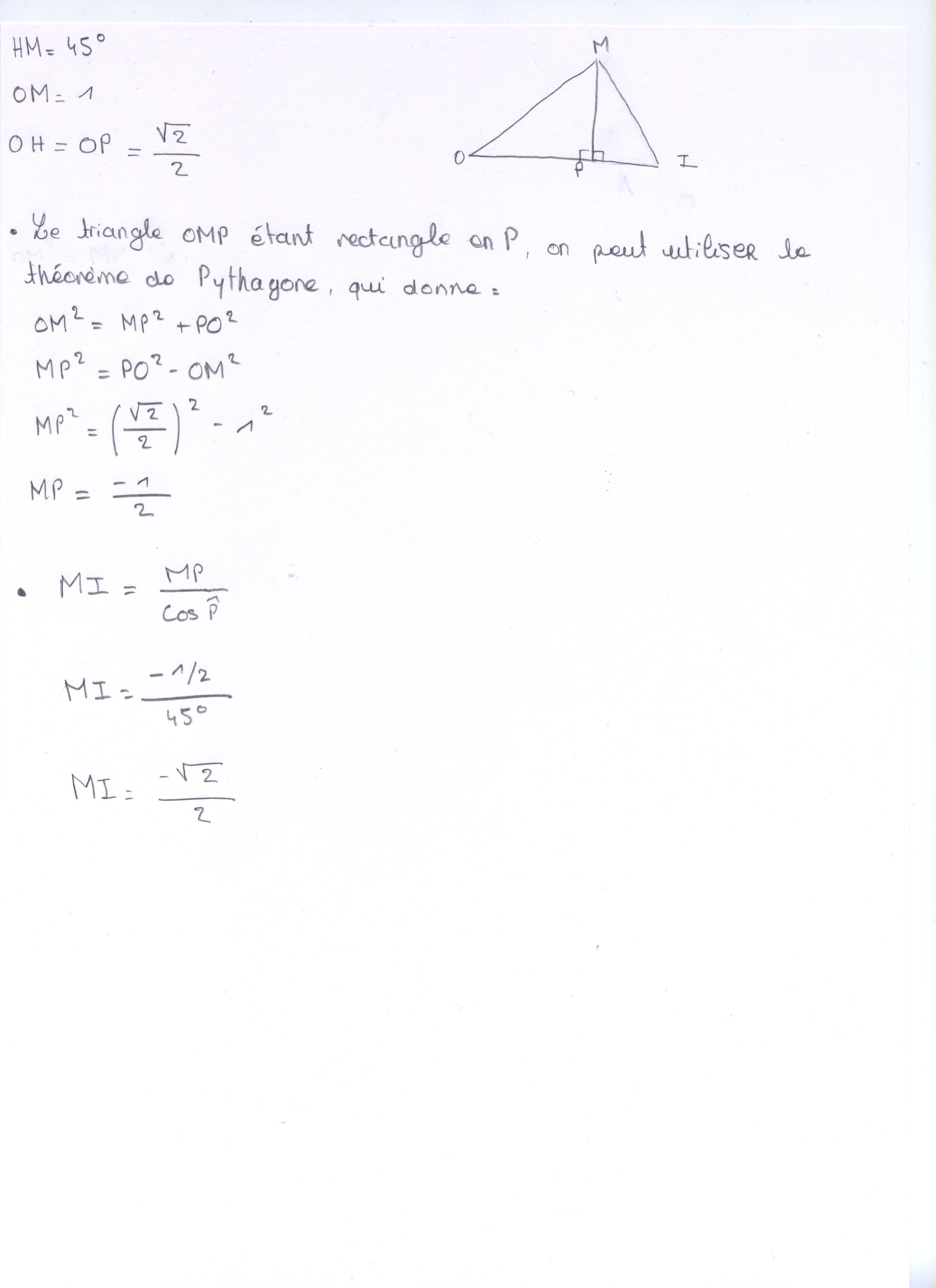
Bonjour,
Donc la question 2 est correct ?
.3)
On a:
HM= 45degres
OH= racine de 2/2
OM= 1 ?
Est-ce cela ?
Cordialement
Donc la question 2 est correct ?
.3)
On a:
HM= 45degres
OH= racine de 2/2
OM= 1 ?
Est-ce cela ?
Cordialement
-
sos-math(21)
- Messages : 10401
- Enregistré le : lun. 30 août 2010 11:15
Re: Devoir Maison trigonométrie
Bonjour,
Le début est correct, je t'ai fait une figure pour t'aider à te repérer : Le triangle OMP étant rectangle isocèle, on a bien \(OM=1\) puis \(OP=\frac{\sqrt{2}}{2}\)
Bon courage
Le début est correct, je t'ai fait une figure pour t'aider à te repérer : Le triangle OMP étant rectangle isocèle, on a bien \(OM=1\) puis \(OP=\frac{\sqrt{2}}{2}\)
Bon courage
-
Laetitia
Re: Devoir Maison trigonométrie
2) Je vous avoue que suis un peu perdue.
Ce que j'ai fait me semble incorrect, mais je ne vois pas comment faire autrement.
Dans quel triangle faut-il se placer ? MIP ?
Cordialement.
Ce que j'ai fait me semble incorrect, mais je ne vois pas comment faire autrement.
Dans quel triangle faut-il se placer ? MIP ?
Cordialement.
-
SoS-Math(9)
- Messages : 6351
- Enregistré le : mer. 5 sept. 2007 12:10
Re: Devoir Maison trigonométrie
Bonsoir Laetitia,
Il y a une erreur de signe dans ton travail ... une longueur est toujours positive !
Voici une autre méthode pour calculer IM :
\(IM = \sqrt{(x_M-x_I)^2+(y_M-y_I)^2}\).
Comme tu connais les coordonnées de M et I, tu vas pouvoir calculer IM.
SoSMath.
Il y a une erreur de signe dans ton travail ... une longueur est toujours positive !
Voici une autre méthode pour calculer IM :
\(IM = \sqrt{(x_M-x_I)^2+(y_M-y_I)^2}\).
Comme tu connais les coordonnées de M et I, tu vas pouvoir calculer IM.
SoSMath.
-
Laetitia
Re: Devoir Maison trigonométrie
Bonsoir,
soit IM= racine (\(\frac{racine de 2}{2}\) -1)^2 + (\(\frac{racine de 2}{2}\) -0)^2
IM= \(\sqrt{2-\sqrt{2}\)
Cordialement.
On a I(1;0) et M( \(\frac{racine de 2}{2}\); \(\frac{racine de 2}{2}\))SoS-Math(9) a écrit : \(IM = \sqrt{(x_M-x_I)^2+(y_M-y_I)^2}\).
soit IM= racine (\(\frac{racine de 2}{2}\) -1)^2 + (\(\frac{racine de 2}{2}\) -0)^2
IM= \(\sqrt{2-\sqrt{2}\)
Cordialement.
-
SoS-Math(9)
- Messages : 6351
- Enregistré le : mer. 5 sept. 2007 12:10
Re: Devoir Maison trigonométrie
C'est bien Laetitia.
SoSMath.
SoSMath.
-
Laetitia
Re: Devoir Maison trigonométrie
Bonjour,
5)
Deux côtés du triangle OHI sont des rayons.
On a POH + PIH = OHP + PHI = OIH
Comme la somme des angles d'un triangle vaut 180°, il vient pour les angles du triangle OHI :
(POH + PIH) + OHI = 2 OHI = 180°.
Puis en divisant par 2, on obtient OHI = 90°.
Le triangle est donc rectangle en H.
6)
L'angle IOH mesure la moitié de l'angle IOM.
Par conséquent, on a [IH]= \(\frac{IM}{2}\)
IH = \(\sqrt{2-\sqrt{2}}/2\)
7)
Je ne comprends pas comment faire.
IM= 2sin (\(\frac{pi}{8}\))
Cordialement
5)
Deux côtés du triangle OHI sont des rayons.
On a POH + PIH = OHP + PHI = OIH
Comme la somme des angles d'un triangle vaut 180°, il vient pour les angles du triangle OHI :
(POH + PIH) + OHI = 2 OHI = 180°.
Puis en divisant par 2, on obtient OHI = 90°.
Le triangle est donc rectangle en H.
6)
L'angle IOH mesure la moitié de l'angle IOM.
Par conséquent, on a [IH]= \(\frac{IM}{2}\)
IH = \(\sqrt{2-\sqrt{2}}/2\)
7)
Je ne comprends pas comment faire.
IM= 2sin (\(\frac{pi}{8}\))
Cordialement
-
SoS-Math(9)
- Messages : 6351
- Enregistré le : mer. 5 sept. 2007 12:10
Re: Devoir Maison trigonométrie
Laetitia,
ok pour la question 5.
Pour la question 6, tu n'as répondu à la question .... on veut IH en fonction de l'ange \(\widehat{IOH}\).
Comme tu as un triangle rectangle, utilise le sinus de ton angle ...
Question 7 : IM = 2 * IH.
Question 8 : c'est ici qu'il faut utiliser ton résultat \(IH = \frac{\sqrt{2-\sqrt{2}}}{2}\).
SoSMath.
ok pour la question 5.
Pour la question 6, tu n'as répondu à la question .... on veut IH en fonction de l'ange \(\widehat{IOH}\).
Comme tu as un triangle rectangle, utilise le sinus de ton angle ...
Question 7 : IM = 2 * IH.
Question 8 : c'est ici qu'il faut utiliser ton résultat \(IH = \frac{\sqrt{2-\sqrt{2}}}{2}\).
SoSMath.
-
Laetitia
Re: Devoir Maison trigonométrie
Pour la question 5), il faut bien mettre des "chapeaux" sur les lettres comme se sont des angles ?
(\(\widehat{POH}\) + \(\widehat{PIH}\)) + \(\widehat{OHI}\) = 2 \(\widehat{OHI}\) = 180°.
Question 6: sin O= coté opposé/ hypoténuse = HI/OI
IH= OI/ sin O = 1/ (45/2)
Question 7:
IH= sin pi/8, comme IM= 2*IM
IM= 2sin (pi/8)
Cordialement
(\(\widehat{POH}\) + \(\widehat{PIH}\)) + \(\widehat{OHI}\) = 2 \(\widehat{OHI}\) = 180°.
Question 6: sin O= coté opposé/ hypoténuse = HI/OI
IH= OI/ sin O = 1/ (45/2)
Question 7:
IH= sin pi/8, comme IM= 2*IM
IM= 2sin (pi/8)
Cordialement
-
SoS-Math(9)
- Messages : 6351
- Enregistré le : mer. 5 sept. 2007 12:10
Re: Devoir Maison trigonométrie
Laetitia,
A la question 6, tu as fait une erreur ... sin O = HI/OI donc HI = OI * sin O (et non HI = OI / sin O).
C'est bien pour la question 7.
SoSMath.
A la question 6, tu as fait une erreur ... sin O = HI/OI donc HI = OI * sin O (et non HI = OI / sin O).
C'est bien pour la question 7.
SoSMath.
-
Laetitia
Re: Devoir Maison trigonométrie
Question 6:Laetitia a écrit :Pour la question 5), il faut bien mettre des "chapeaux" sur les lettres comme se sont des angles ?
(\(\widehat{POH}\) + \(\widehat{PIH}\)) + \(\widehat{OHI}\) = 2 \(\widehat{OHI}\) = 180°.
Sin O= HI/OI
donc, HI=OI*sinO
HI= 1* sin(45/2)
HI= 0.38 cm environ.
Question 7: Je mettais trompée, désolé...
IH= sin pi/8, comme IM= 2*IH
IM= 2sin (pi/8)
Question 8: Je ne comprends pas comment je dois utiliser mon résultat pour répondre à cette question.
Cordialement
