Exercice
-
Justine
Exercice
Bonjour,
Enoncé: On considère un trapèze ABCD tel due (AB)//(CD). On note O le point d'intersection des droites (AD) et (BC), K le point d'intersection des diagonales [AC] et [BD] et I et J les milieux respectifs des cotés [AB] et [CD].
On sait que A(-2;2), B(3;2), C(5;5), D(-3;5), I(0,5;2), J(1;5), K(9/13;41/13) et O(-3/9;-3).
Question 1 : On se place dans le repère (O; \(\overrightarrow{OA}\); \(\overrightarrow{OB}\)).
a.) Déterminer les coordonnées du point I.
On a A(1;0) et B(0;1), soit AB( -1;1), donc I(0,5;0,5)
b.) Déterminer une équation de la droite (OI).
Je ne sais pas quels vecteurs je dois faire intervenir dans l'équation par rapport à la droite (OI) ? vecteur AI et vecteur AB ?
Enoncé: On considère un trapèze ABCD tel due (AB)//(CD). On note O le point d'intersection des droites (AD) et (BC), K le point d'intersection des diagonales [AC] et [BD] et I et J les milieux respectifs des cotés [AB] et [CD].
On sait que A(-2;2), B(3;2), C(5;5), D(-3;5), I(0,5;2), J(1;5), K(9/13;41/13) et O(-3/9;-3).
Question 1 : On se place dans le repère (O; \(\overrightarrow{OA}\); \(\overrightarrow{OB}\)).
a.) Déterminer les coordonnées du point I.
On a A(1;0) et B(0;1), soit AB( -1;1), donc I(0,5;0,5)
b.) Déterminer une équation de la droite (OI).
Je ne sais pas quels vecteurs je dois faire intervenir dans l'équation par rapport à la droite (OI) ? vecteur AI et vecteur AB ?
-
sos-math(21)
- Messages : 10401
- Enregistré le : lun. 30 août 2010 11:15
Re: Exercice
Bonjour,
dans ton repère, la droite (OI) est une droite passant par l'origine donc son équation est de la forme \(y=ax\).
A toi de trouver \(a\) en calculant : \(a=\frac{y_I-y_O}{x_I-x_O}\).
Bon courage
dans ton repère, la droite (OI) est une droite passant par l'origine donc son équation est de la forme \(y=ax\).
A toi de trouver \(a\) en calculant : \(a=\frac{y_I-y_O}{x_I-x_O}\).
Bon courage
-
Justine
Re: Exercice
a)
a= (Yi +3)/ (Xi+3/9)
a= 3/(3/9)
a=9
Soit y= 9x
Donc I(0;9) ?
Cordialement.
a= (Yi +3)/ (Xi+3/9)
a= 3/(3/9)
a=9
Soit y= 9x
Donc I(0;9) ?
Cordialement.
-
SoS-Math(11)
- Messages : 2881
- Enregistré le : lun. 9 mars 2009 18:20
Re: Exercice
Bonsoir Justine,
Je ne comprends pas tes calculs, tu es dans le repère \((O; \overrightarrow {OA}; \overrightarrow {OB})\).
Les coordonnées données dans le a) sont justes, ce sont celles là qu'il faut utiliser.
Revois tes calculs avec les bonnes coordonnées.
Bon courage
Je ne comprends pas tes calculs, tu es dans le repère \((O; \overrightarrow {OA}; \overrightarrow {OB})\).
Les coordonnées données dans le a) sont justes, ce sont celles là qu'il faut utiliser.
Revois tes calculs avec les bonnes coordonnées.
Bon courage
-
Justine
Re: Exercice
Bonsoir,
a)
a= (Yi -Yo)/ (Xi -Xo)
a= (2+3)/(0,5+3/9)
a=6
Soit y= 6x
Cordialement.
a)
a= (Yi -Yo)/ (Xi -Xo)
a= (2+3)/(0,5+3/9)
a=6
Soit y= 6x
Cordialement.
-
SoS-Math(11)
- Messages : 2881
- Enregistré le : lun. 9 mars 2009 18:20
Re: Exercice
Tu utilises toujours les coordonnées données au départ pas celles déterminées au a) : O(0 ; 0) , A(1 ; 0) , B(0 ; 1) et I(0,5 ; 0,5).
Cependant ton résultat est juste y = 6 x dans le repère donné avec les coordonnées données.
Dans le repère \((O; \overrightarrow {OA}; \overrightarrow {OB})\) tu as donc \(a=\frac{y_I-y_O}{x_I-x_O}\)\(=\frac{0,5 - 0}{0,5 - 0}= ...\).
Bonne continuation
Cependant ton résultat est juste y = 6 x dans le repère donné avec les coordonnées données.
Dans le repère \((O; \overrightarrow {OA}; \overrightarrow {OB})\) tu as donc \(a=\frac{y_I-y_O}{x_I-x_O}\)\(=\frac{0,5 - 0}{0,5 - 0}= ...\).
Bonne continuation
-
Justine
Re: Exercice
Excusez-moi j'avais mélangé les questions ...
a) On a A(1;0) et B(0;1), soit AB( -1;1), donc I(0,5;0,5)
b) a= (yI-yO) / (xI-xO) = (0,5 - 0) / (0,5 - 0)= 1
Donc y=x
Cordialement.
a) On a A(1;0) et B(0;1), soit AB( -1;1), donc I(0,5;0,5)
b) a= (yI-yO) / (xI-xO) = (0,5 - 0) / (0,5 - 0)= 1
Donc y=x
Cordialement.
-
SoS-Math(11)
- Messages : 2881
- Enregistré le : lun. 9 mars 2009 18:20
Re: Exercice
C'est bien.
Bonne continuation
Bonne continuation
-
Justine
Re: Exercice
Bonjour,
c) Montrer que J appartient à (OI). (Je ne sais pas comment m'y prendre).
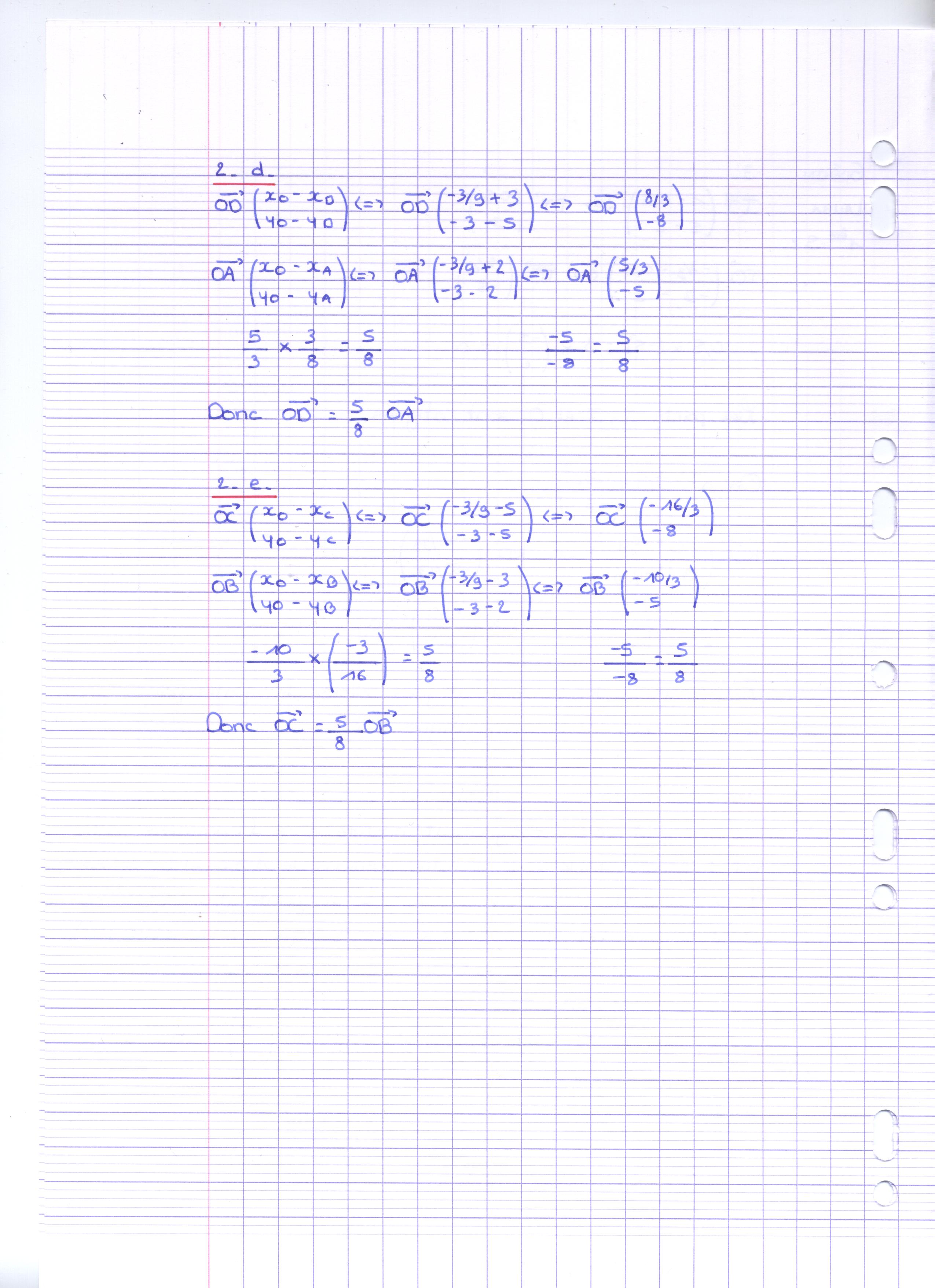
d) Justifier qu'il existe un réel alpha tel que \(\overrightarrow{OD}\)= alpha\(\overrightarrow{OA}\). (Voir fichier joint)
e) Prouver que \(\overrightarrow{OC}\)= alpha\(\overrightarrow{OB}\). (Voir fichier joint)
Cordialement.
c) Montrer que J appartient à (OI). (Je ne sais pas comment m'y prendre).
d) Justifier qu'il existe un réel alpha tel que \(\overrightarrow{OD}\)= alpha\(\overrightarrow{OA}\). (Voir fichier joint)
e) Prouver que \(\overrightarrow{OC}\)= alpha\(\overrightarrow{OB}\). (Voir fichier joint)
Cordialement.
-
Justine
Re: Exercice
Bonjour,
Pour le c) j'ai commencé par faire une équation cartésienne de la droite (OI)...
M(x;y) E (OI) <=> OM (x+3/9;y+3) et OI (5/6;5) sont colinéaires.
<=> 5(x+3/9) - 5/6(y+3)=0
<=> 5x+5/3 - 5/6y -5/2=0
<=> 5x-5/6y-5/6=0
Cordialement.
Pour le c) j'ai commencé par faire une équation cartésienne de la droite (OI)...
M(x;y) E (OI) <=> OM (x+3/9;y+3) et OI (5/6;5) sont colinéaires.
<=> 5(x+3/9) - 5/6(y+3)=0
<=> 5x+5/3 - 5/6y -5/2=0
<=> 5x-5/6y-5/6=0
Cordialement.
-
SoS-Math(25)
- Messages : 1867
- Enregistré le : mer. 2 nov. 2011 09:39
Re: Exercice
Bonjour Justine,
Ton raisonnement semble correct en revanche :
es-tu sure des coordonnées de OI ?
Il me semble que la consigne est :
Bon courage !
Ton raisonnement semble correct en revanche :
es-tu sure des coordonnées de OI ?
Il me semble que la consigne est :
Donc pourquoi ne pas utiliser les coordonnées des points dans ce repère ?Justine a écrit :
Question 1 : On se place dans le repère (O; \(\overrightarrow{OA}\); \(\overrightarrow{OB}\)).
Bon courage !
-
Justine
Re: Exercice
Bonjour,
Les coordonnées de I sont (0,5;0,5).
Pour ceux de O ce sont (-3/9;-3) ? Je ne trouve pas pour O
Cordialement.
Les coordonnées de I sont (0,5;0,5).
Pour ceux de O ce sont (-3/9;-3) ? Je ne trouve pas pour O
Cordialement.
-
Justine
Re: Exercice
M(x;y) E (OI) <=> OM (x+3/9;y+3) et OI (5/6;3,5) sont colinéaires.
<=> 3,5(x+3/9) - 5/6(y+3)=0
<=> 3,5x+7/6 - 5/6y -5/2=0
<=> 3,5x-5/6y-4/3=0
Mais cela ne prouve pas que J appartient à (OI) ?
Cordialement.
<=> 3,5(x+3/9) - 5/6(y+3)=0
<=> 3,5x+7/6 - 5/6y -5/2=0
<=> 3,5x-5/6y-4/3=0
Mais cela ne prouve pas que J appartient à (OI) ?
Cordialement.
-
SoS-Math(25)
- Messages : 1867
- Enregistré le : mer. 2 nov. 2011 09:39
Re: Exercice
Le point O est l'origine du repère (O; \(\overrightarrow{OA}\); \(\overrightarrow{OB}\)).
Donc ses coordonnées dans ce repère sont simplement (0;0)..
Le point J appartient à la droite (OI) si :
\(\overrightarrow{OJ}\) et \(\overrightarrow{OI}\) sont colinéaires ou encore,
les coordonnées de J vérifient l'équation de la droite (OI).
Attention aux coordonnées de \(\overrightarrow{OI}\) ! Tu utilises les coordonnées de O dans le repère d'origine et les coordonnées de I dans le repère (O; \(\overrightarrow{OA}\); \(\overrightarrow{OB}\))... Cela ne peut pas coller !
Détaille bien tes calculs pour les coordonnées des vecteurs \(\vec{OM}\) et \(\overrightarrow{OI}\).
Bon courage !
Donc ses coordonnées dans ce repère sont simplement (0;0)..
Le point J appartient à la droite (OI) si :
\(\overrightarrow{OJ}\) et \(\overrightarrow{OI}\) sont colinéaires ou encore,
les coordonnées de J vérifient l'équation de la droite (OI).
Attention aux coordonnées de \(\overrightarrow{OI}\) ! Tu utilises les coordonnées de O dans le repère d'origine et les coordonnées de I dans le repère (O; \(\overrightarrow{OA}\); \(\overrightarrow{OB}\))... Cela ne peut pas coller !
Détaille bien tes calculs pour les coordonnées des vecteurs \(\vec{OM}\) et \(\overrightarrow{OI}\).
Bon courage !
-
Justine
Re: Exercice
M(x;y) E (OI) <=> OM (x+0;y+0) et \(\overrightarrow{OI}\) (xI-xO; yI-yO) <=> \(\overrightarrow{OI}\) (0,5;0,5) sont colinéaires.
<=> 0,5(x+0)-0,5(y+0)=0
<=>0,5x-0,5y=0
Cordialement.
<=> 0,5(x+0)-0,5(y+0)=0
<=>0,5x-0,5y=0
Cordialement.
