DM

Retrouver tous les sujets résolus.
Verrouillé
Laetitia

DM

Message par Laetitia » jeu. 25 sept. 2014 18:12

Bonjour,

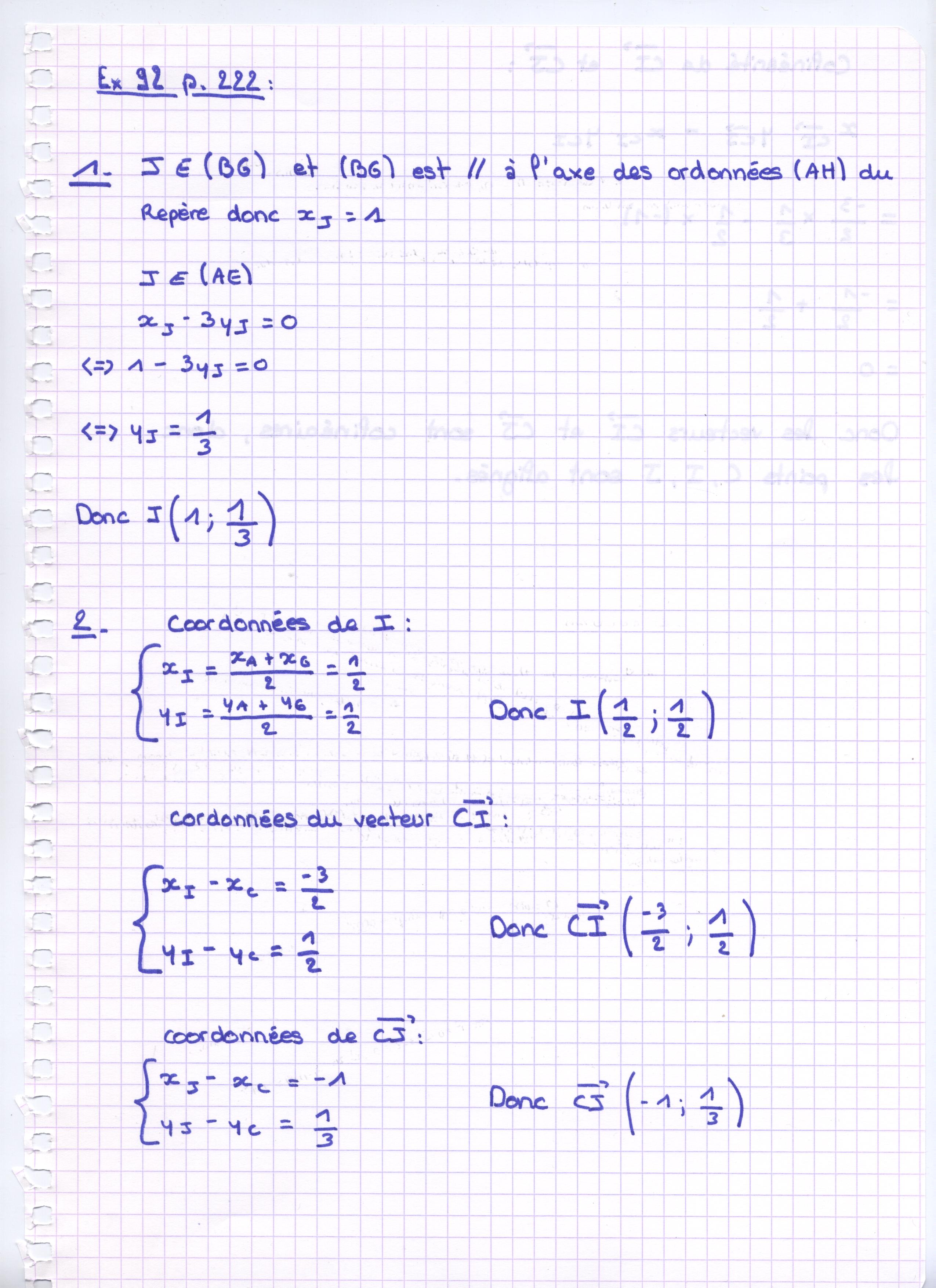
Je viens de faire l'exercice 92 page222 que vous trouverez en fichier joint ainsi que l'énoncé. Est-il correct ?

Deuxième exercice :
Énoncé:
Pour tout réel m, on appelle Dm l'ensemble des points M dont les coordonnées (x;y) vérifient :

(m+1)x - (m+2)y + 1 = 0

1. Déterminer et construire D2.
2. Démontrer que qu'elle que soit la valeur de m, Dm est une droite du plan.
3. Déterminer les réels m pour lesquels la droite Dm est parallèle à l'un des axes de coordonnées.
4. Montrer que toutes les droites Dm passent par un même point A dont on donnera les coordonnées.

1.
(2+1)y-(2+2)x+1=0
3y-4x+1=0
-4x=-1-3y
4x=1+3y
x= (1+3y)/4
x=1

Pour construire la droite
:
y=1
x=1

soit
y=5
x=(1+15)/4
x=4

Pour le 2.) je ne sais pas comment faire.

Cordialement
Fichiers joints
Suite Exercice 92
Suite Exercice 92
Exercice 92
Exercice 92
Enoncé
Enoncé
SoS-Math(11)
Messages : 2881
Enregistré le : lun. 9 mars 2009 18:20

Re: DM

Message par SoS-Math(11) » jeu. 25 sept. 2014 20:03

Bonsoir Lætitia,

OK pour le n° 92

Pour la première question c'est juste, mais je pense qu'il vaut mieux écrire \(y\) en fonction de \(x\) : \(y = \frac{3}{4}x+\frac{1}{4}\).

Pour avoir une équation de droite : tu ne dois pas avoir en même temps le coefficient de \(x\) et celui de \(y\) tous les deux égaux à 0.

Une droite est parallèle à l'axe des abscisses si elle peut s'écrire \(y = k\) et une droite est parallèle à l'axe des ordonnées si elle peut s'écrire \(x = k\).

Pour la dernière question cherche les coordonnées d'un point qui te permettent d'éliminer "\(m\)" puisque qu'il doit être sur toutes les droites.

Bon courage
Laetitia

Re: DM

Message par Laetitia » sam. 27 sept. 2014 10:43

Bonjour,

1.
Pour m=2, D2 a pour équation :
(2+1)y-(2+2)x+1=0
3y-4x+1=0
soit y= 4/3x- 1/3

Pour construire la droite:[/u]

pour x=1 , après calculs y=1
pour x=4 , après calculs y=5

On place les points de coordonnées (1,1) et (4,5) et on trace la droite D2 passant par ces 2 points.
(voir fichier joint)

2.
Comme nous avons (m+1)y-(m+2)x+1 =0 Alors a=-m-2 b=m+1 c=1
Si m différent de -1 on y= (m+2)x/(m+1) - 1/(m+1)

a= m+2/(m+1) appartient à IR

et b= -1/(m+1) appartient à IR

Si m=-1 Alors x=+1
D(-1) est la droite passant par x=1 parallèle à Oy

Quelque soit m appartenant à IR, Dm est une droite du plan.
2.
Comme nous avons (m+1)y-(m+2)x+1 =0 Alors a=-m-2 b=m+1 c=1
° si m différent de -1 on y= (m+2)x/(m+1) - 1/(m+1)

a= m+2/(m+1) appartient à IR

et b= -1/(m+1) appartient à IR

Si m=-1 Alors x=+1
D(-1) est la droite passant par x=1 parallèle à Oy

Quelque soit m appartenant à IR, Dm est une droite du plan.

3.
Dm est parallèle a un axe des ordonnées si son équation est du type ax=b ou ay=b

Si ax=b et (m+1)y=0 nous obtenons m=-1
Si ay=b et (m+2)x=0 nous obtenons m=-2

Donc l'ensemble pour lesquels Dm est parallèle à un axe des coordonnées et {-1 ;-2}.

4.
Toutes les droites Dm se coupent en un même point A (xA ;yA) si quelque soit m différent de n appart à IR

(m+1)yA -(m+2)xA +1=0
(n+1) yA- (n+2)xA +1=0

yA(m+1-n-1) - xA (m+2-n-2) +1-1=0
soit m différent de n

ya= (m-n)/(m-n) xA
soit yA=xA


si x=y nous avons
(m+1)x-(m+2)x +1=0
x-2x+1=0
-x+1=0
-x=-1
x=1
donc x=1 et y=1

Les droites Dm passent par le même point A de coordonnées sont (1;1).

Cordialement.
Fichiers joints
001.jpg
SoS-Math(9)
Messages : 6351
Enregistré le : mer. 5 sept. 2007 12:10

Re: DM

Message par SoS-Math(9) » sam. 27 sept. 2014 10:53

Bonjour Laetitia,

Tout est juste sauf la question 1 !
Tu as inversé x et y ...

SoSMath.
Laetitia

Re: DM

Message par Laetitia » sam. 27 sept. 2014 11:55

D'accord, merci beaucoup.
Verrouillé