Exercice probabilité
-
Julia
Re: Exercice probabilité
Pour l'exercice 3 a c'est la loi d'espérance j'ai fait ce tableau :
-
sos-math(21)
- Messages : 10401
- Enregistré le : lun. 30 août 2010 11:15
Re: Exercice probabilité
Bonjour,
tes valeurs de \(X\) sont fausses : si tu mises un euro, c'est déjà un euro en moins donc si tu perds \(x^2\), cela fait un "gain" total de \(-x^2-1\).
De même, si tu gagnes \(x\) euros, alors cela te fait un gain total de \(x-1\).
En revanche si tu gagnes 50 euros, cela te fait bien 49 euros de gain total.
Tes probabilités sont erronées : construis un arbre à deux niveaux : Tu en déduiras les probabilités de tes événements élémentaires.
Bon calcul
tes valeurs de \(X\) sont fausses : si tu mises un euro, c'est déjà un euro en moins donc si tu perds \(x^2\), cela fait un "gain" total de \(-x^2-1\).
De même, si tu gagnes \(x\) euros, alors cela te fait un gain total de \(x-1\).
En revanche si tu gagnes 50 euros, cela te fait bien 49 euros de gain total.
Tes probabilités sont erronées : construis un arbre à deux niveaux : Tu en déduiras les probabilités de tes événements élémentaires.
Bon calcul
-
Julia
Re: Exercice probabilité
Mais comme c’est la loi de l’espérance c’est pas mieux de faire un tableau?
-
SoS-Math(33)
- Messages : 3588
- Enregistré le : ven. 25 nov. 2016 14:24
Re: Exercice probabilité
Bonsoir,
l'arbre te permet de faire ensuite le tableau.
SoS-math(21) t'a donné l'arbre pour que tu puisses vérifier les probabilités des événements élémentaires et ainsi faire la tableau.
SoS-math
l'arbre te permet de faire ensuite le tableau.
SoS-math(21) t'a donné l'arbre pour que tu puisses vérifier les probabilités des événements élémentaires et ainsi faire la tableau.
SoS-math
-
Julia
Re: Exercice probabilité
Bonjour, quand je fais les calculs pour les probabilités des événements élémentaires mais ça se me donne pas du tout 1.
-
SoS-Math(33)
- Messages : 3588
- Enregistré le : ven. 25 nov. 2016 14:24
Re: Exercice probabilité
Bonjour,
peux tu donner tes calculs pour vérification.
peux tu donner tes calculs pour vérification.
-
Julia
Re: Exercice probabilité
Je trouve ce résultat la \(-1\times \frac{0}{20}+1 \times\frac{1}{20}+49 \times\frac{2}{20}=\frac{99}{20}\)
-
SoS-Math(33)
- Messages : 3588
- Enregistré le : ven. 25 nov. 2016 14:24
Re: Exercice probabilité
Les trois possibilités pour le jeu sont :
aucun jeton rouge donc deux verts : p = 0,64
un jeton rouge donc rouge puis vert ou vert puis rouge : p = 0,16+0,16 = 0,32
deux jetons rouges : p = 0,04
aucun jeton rouge donc deux verts : p = 0,64
un jeton rouge donc rouge puis vert ou vert puis rouge : p = 0,16+0,16 = 0,32
deux jetons rouges : p = 0,04
-
Julia
-
SoS-Math(33)
- Messages : 3588
- Enregistré le : ven. 25 nov. 2016 14:24
Re: Exercice probabilité
Oui c'est correct
-
Julia
Re: Exercice probabilité
Pour la question 1 petit b comme c’est l’espérance on fait \(E(x)=(-x^{2}-1 \times 0,64)+(x-1 \times0,32)+(49\times 0,04)= (-x^{2}-0,64)+(x-0,32)-1,96=-x ^{2}+x-0,64-0,32+1,96= x^{2}-x+1\)
-
SoS-Math(33)
- Messages : 3588
- Enregistré le : ven. 25 nov. 2016 14:24
Re: Exercice probabilité
Tu as fait des erreurs
\(E(x)=(-x^{2}-1 )\times 0,64+(x-1) \times0,32+(49\times 0,04)\)
\(= -0,64x^2 - 0,64 + 0,32x -0,32 + 1,96\)
\(= -0,64x^2 + 0,32x + 1\)
\(E(x)=(-x^{2}-1 )\times 0,64+(x-1) \times0,32+(49\times 0,04)\)
\(= -0,64x^2 - 0,64 + 0,32x -0,32 + 1,96\)
\(= -0,64x^2 + 0,32x + 1\)
-
Julia
Re: Exercice probabilité
Ah oui merci je l’étais tromper sur quelque calculer Pour déduire les variations à la question 2 il faut delta
-
sos-math(21)
- Messages : 10401
- Enregistré le : lun. 30 août 2010 11:15
Re: Exercice probabilité
Bonjour,
le discriminant d'une fonction polynôme du second degré ne sert pas à étudier les variation de cette fonction mais permet de savoir si cette fonction a des racines ou non.
Pour étudier les variations, il faut déterminer l'abscisse du sommet : pour une fonction du second degré de la forme \(f(x)=ax^2+bx+c\), ce sommet a pour abscisse \(x_0=\dfrac{-b}{2a}\).
De plus, ton coefficient dominant est \(a=-0{,}64\), qui est négatif donc tes variations sont dans le sens inverse : croissante puis décroissante, et tu auras bien un maximum atteint en \(x_0\).
Il faut vraiment que tu reprennes cela.
Bon courage
le discriminant d'une fonction polynôme du second degré ne sert pas à étudier les variation de cette fonction mais permet de savoir si cette fonction a des racines ou non.
Pour étudier les variations, il faut déterminer l'abscisse du sommet : pour une fonction du second degré de la forme \(f(x)=ax^2+bx+c\), ce sommet a pour abscisse \(x_0=\dfrac{-b}{2a}\).
De plus, ton coefficient dominant est \(a=-0{,}64\), qui est négatif donc tes variations sont dans le sens inverse : croissante puis décroissante, et tu auras bien un maximum atteint en \(x_0\).
Il faut vraiment que tu reprennes cela.
Bon courage
-
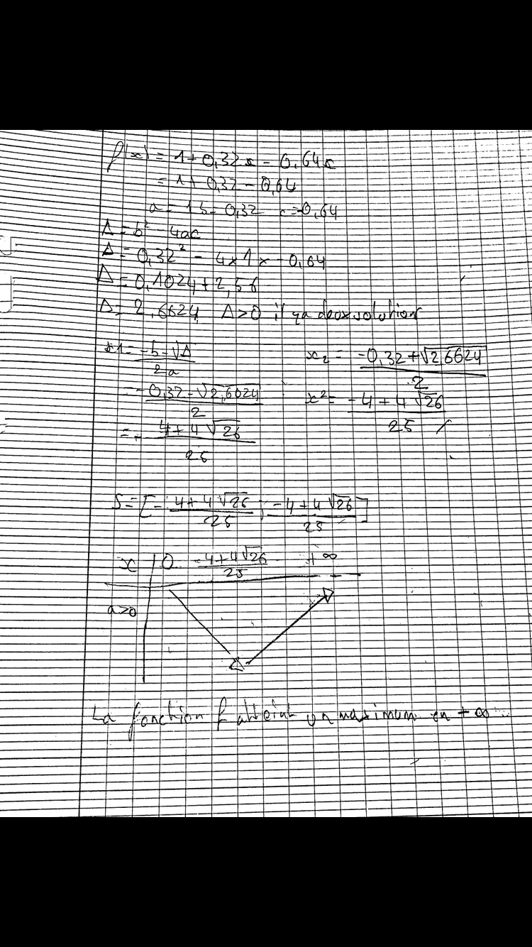
Julia
Re: Exercice probabilité
Bonjour, j’ai refait les calculs et le tableau, vous trouvez que delta est égale 0 je ne trouve pas ces résultats pouvez vous détailler vos calculs s’il vous plaît.
