DM math ex 60 et 62 page 48 livre math'x didier seconde
-
sos-math(21)
- Messages : 10401
- Enregistré le : lun. 30 août 2010 11:15
Re: DM math ex 60 et 62 page 48 livre math'x didier seconde
Bonjour,
Et oui, la politesse est de rigueur sur ce forum.
Je t'invite à reformuler ta demande qui est trop vague : nous ne ferons pas l'exercice à ta place, tu dois d'abord réfléchir un minimum et nous expliquer à quel endroit précis tu es bloquée.
Pour le premier, tu as deux demi-disques (en orange) :
Le premier a pour diamètre \(2x\) donc son rayon est \(x\) et l'aire est donnée par \(\frac{1}{2}\times ????\)
Le deuxième a pour diamètre \(8-2x\) (car AB=8) donc son rayon est et l'aire est donnée par \(\frac{1}{2}\times ????\)
A bientôt
Et oui, la politesse est de rigueur sur ce forum.
Je t'invite à reformuler ta demande qui est trop vague : nous ne ferons pas l'exercice à ta place, tu dois d'abord réfléchir un minimum et nous expliquer à quel endroit précis tu es bloquée.
Pour le premier, tu as deux demi-disques (en orange) :
Le premier a pour diamètre \(2x\) donc son rayon est \(x\) et l'aire est donnée par \(\frac{1}{2}\times ????\)
Le deuxième a pour diamètre \(8-2x\) (car AB=8) donc son rayon est et l'aire est donnée par \(\frac{1}{2}\times ????\)
A bientôt
-
marvens
Re: DM math ex 60 et 62 page 48 livre math'x didier seconde
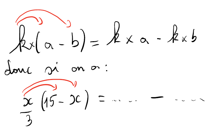
Je n'est pas compris le développementsos-math(21) a écrit :Bonjour,
L'aire du rectangle est donnée par \(\mathcal{A}=\ell\times L=\frac{x}{3}\times (15-x)\), de cette formule tu développes et tu dois obtenir la formule demandée.
Ce n'est pas très compliqué avec la distributivité.
Bon courage
-
sos-math(21)
- Messages : 10401
- Enregistré le : lun. 30 août 2010 11:15
Re: DM math ex 60 et 62 page 48 livre math'x didier seconde
Bonjour,
le développement s'appuie sur le principe de distributivité vue en quatrième : Je te laisse essayer.
le développement s'appuie sur le principe de distributivité vue en quatrième : Je te laisse essayer.
-
Invité
Re: DM math ex 60 et 62 page 48 livre math'x didier seconde
Chloé a écrit :Bonjour, j'ai un dm à faire et je suis bloqué à quelque question : Dans l'exo 60, je suis bloqué à la question 5.b Reprendre cette quest... et pour l'exo 62, je suis bloqué à la question 2c et surtout la 3 !! Merci d'avance de votre aide !
PS: le problème c'est que je n'arrive pas à joindre les documents ni à les trouver sur internet :o !
-
SoS-Math(33)
- Messages : 3588
- Enregistré le : ven. 25 nov. 2016 14:24
Re: DM math ex 60 et 62 page 48 livre math'x didier seconde
Bonjour visiteur, quelle est ta question?
