limite de fonction terminale
-
louise
limite de fonction terminale
Bonjour,
je dois rendre ces exercices pour demain, quelqu'un pourrait m'aider svp?
je ne sais pas comment faire ça, pouvez vous m'expliquer svp?
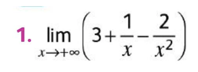
il faut calculer la limite, j'ai trouvé lim x->+∞= 3 mais je ne suis pas sûre de ma réponse.
Je n'ai pas compris l'exercice 4, mais j'ai trouvé lim x->+∞= 2 pour le 5eme exercice, pouvez vous me dire si c'est bon?
Merci.
je dois rendre ces exercices pour demain, quelqu'un pourrait m'aider svp?
je ne sais pas comment faire ça, pouvez vous m'expliquer svp?
il faut calculer la limite, j'ai trouvé lim x->+∞= 3 mais je ne suis pas sûre de ma réponse.
Je n'ai pas compris l'exercice 4, mais j'ai trouvé lim x->+∞= 2 pour le 5eme exercice, pouvez vous me dire si c'est bon?
Merci.
-
sos-math(21)
- Messages : 10401
- Enregistré le : lun. 30 août 2010 11:15
Re: limite de fonction terminale
Bonjour,
pour le tracé de fonction, il te suffit de tracer les asymptotes qui vont te servir de "cadre" puis de tracer une courbe qui respecte ce cadre : Pour la limite c'est bien 3.
Pour l'exercice 4, il faut calculer les limites aux bornes du domaines : en \(-\infty\), en \(2^{-}\), en \(2^{+}\) et en \(+\infty\), ce qui te permettra d'obtenir une asymptote horizontale d'équation \(y=0\) en \(-\infty\) et en \(+\infty\) et une asymptote verticale d'équation \(x=2\).
Pour l'exercice 5, \(\lim_{x\to\infty}f(x)\) est bien égale à 2.
Bonne continuation
pour le tracé de fonction, il te suffit de tracer les asymptotes qui vont te servir de "cadre" puis de tracer une courbe qui respecte ce cadre : Pour la limite c'est bien 3.
Pour l'exercice 4, il faut calculer les limites aux bornes du domaines : en \(-\infty\), en \(2^{-}\), en \(2^{+}\) et en \(+\infty\), ce qui te permettra d'obtenir une asymptote horizontale d'équation \(y=0\) en \(-\infty\) et en \(+\infty\) et une asymptote verticale d'équation \(x=2\).
Pour l'exercice 5, \(\lim_{x\to\infty}f(x)\) est bien égale à 2.
Bonne continuation
-
louise
Re: limite de fonction terminale
Merci beaucoup pour votre réponse. Je n'ai, cependant, toujours pas compris l'exercice 4...
-
sos-math(21)
- Messages : 10401
- Enregistré le : lun. 30 août 2010 11:15
Re: limite de fonction terminale
Il faut, comme je te l'ai dit, calculer les limites aux bornes du domaine : en 2 et en \(+\infty\).
Par exemple, en \(+\infty\) :
\(\lim_{x\to +\infty} 3 = 3\)
\(\lim_{x\to +\infty} x-2=+\infty\)
donc en faisant le rapport des deux : \(\lim_{x\to+\infty}\dfrac{3}{x-2}=0\) donc la courbe admet une asymptote horizontale d'équation \(y=0\) en \(+\infty\).
Il faut faire la même chose sur l'autre borne 2.
Bonne continuation
Par exemple, en \(+\infty\) :
\(\lim_{x\to +\infty} 3 = 3\)
\(\lim_{x\to +\infty} x-2=+\infty\)
donc en faisant le rapport des deux : \(\lim_{x\to+\infty}\dfrac{3}{x-2}=0\) donc la courbe admet une asymptote horizontale d'équation \(y=0\) en \(+\infty\).
Il faut faire la même chose sur l'autre borne 2.
Bonne continuation
