question Integral
- 
				Yessine
question Integral
Bonjour,
Ex: je ne comprends pas la correction de question 1)b): pouvez vous m'aider?
Merci d'avance
			
			
									
									
						Ex: je ne comprends pas la correction de question 1)b): pouvez vous m'aider?
Merci d'avance
- 
				SoS-Math(34)
- Messages : 599
- Enregistré le : ven. 17 nov. 2017 09:31
Re: question Integral
Bonjour Yessine,
Pour mieux comprendre, je te propose de regarder cette vidéo :
https://www.youtube.com/watch?v=Lc5VctfJZbM
Si ça n'est pas assez détaillé, voici un complément un peu plus long mais davantage détaillé :
vidéo 1 : https://www.youtube.com/watch?v=cgjOrr49hrw
vidéo 2 : https://www.youtube.com/watch?v=Kcd7GRh7xZE
Bon visionnage,
sosmaths
			
			
									
									
						Pour mieux comprendre, je te propose de regarder cette vidéo :
https://www.youtube.com/watch?v=Lc5VctfJZbM
Si ça n'est pas assez détaillé, voici un complément un peu plus long mais davantage détaillé :
vidéo 1 : https://www.youtube.com/watch?v=cgjOrr49hrw
vidéo 2 : https://www.youtube.com/watch?v=Kcd7GRh7xZE
Bon visionnage,
sosmaths
- 
				Yessine
Re: question Integral
Bonjour
j'ai un problème lorsque j'ai appliqué le théorème : pour \(a = \frac{\Pi }{4}\) et \(b=\frac{1}{2}\)
pour tout \(x \in [0,\frac{\Pi }{2}] \Leftrightarrow x+\frac{\Pi }{4} \notin [0,\frac{\Pi }{2}]\) donc je ne peux pas appliqué le théorème
qu'est ce que je dois faire ?
pouvez vous m'aider?
Merci encore de m'aider
			
			
									
									
						j'ai un problème lorsque j'ai appliqué le théorème : pour \(a = \frac{\Pi }{4}\) et \(b=\frac{1}{2}\)
pour tout \(x \in [0,\frac{\Pi }{2}] \Leftrightarrow x+\frac{\Pi }{4} \notin [0,\frac{\Pi }{2}]\) donc je ne peux pas appliqué le théorème
qu'est ce que je dois faire ?
pouvez vous m'aider?
Merci encore de m'aider
- 
				sos-math(21)
- Messages : 10401
- Enregistré le : lun. 30 août 2010 11:15
Re: question Integral
Bonjour,
pour appliquer cette propriété, il faut que le domaine de définition soit symétrique par rapport à un réel de l'axe des réels. Ici c'est le cas avec \(a=\dfrac{\pi}{4}\).
La propriété dit "pour tout réel \(x\in\mathcal{D}_f\) tel que \(a-x\in\mathcal{D}_f\) et \(a+x\in\mathcal{D}_f\)".
Donc cela ne correspond pas à tout le domaine, seulement la partie de celui-ci qui vérifie cette condition.
Ici, il faut donc que tu raisonnes pour tout \(x\in\left[0\,;\,\dfrac{\pi}{4}\right]\), et dans ce cas \(x+\dfrac{\pi}{4}\in\mathcal{D}_f\) et \(\dfrac{\pi}{4}-x\in\mathcal{D}_f\).
Il te reste à appliquer cette propriété avec les réels dans cet intervalle.
Bonne continuation
			
			
									
									
						pour appliquer cette propriété, il faut que le domaine de définition soit symétrique par rapport à un réel de l'axe des réels. Ici c'est le cas avec \(a=\dfrac{\pi}{4}\).
La propriété dit "pour tout réel \(x\in\mathcal{D}_f\) tel que \(a-x\in\mathcal{D}_f\) et \(a+x\in\mathcal{D}_f\)".
Donc cela ne correspond pas à tout le domaine, seulement la partie de celui-ci qui vérifie cette condition.
Ici, il faut donc que tu raisonnes pour tout \(x\in\left[0\,;\,\dfrac{\pi}{4}\right]\), et dans ce cas \(x+\dfrac{\pi}{4}\in\mathcal{D}_f\) et \(\dfrac{\pi}{4}-x\in\mathcal{D}_f\).
Il te reste à appliquer cette propriété avec les réels dans cet intervalle.
Bonne continuation
- 
				Yessine
Re: question Integral
Bonjour
Merci beaucoup de toutes ces explications.
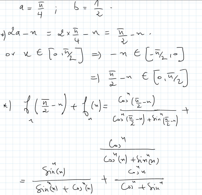
dans la correction il a vérifie que \(2a-x \in Df\) puis il a calculé \(f(2a-x)+f(x)=2b\)
est-ce que c'est une autre propriété ?
			
			
									
									
						Merci beaucoup de toutes ces explications.
dans la correction il a vérifie que \(2a-x \in Df\) puis il a calculé \(f(2a-x)+f(x)=2b\)
est-ce que c'est une autre propriété ?
- 
				sos-math(21)
- Messages : 10401
- Enregistré le : lun. 30 août 2010 11:15
Re: question Integral
Bonjour,
oui, c'est la même démarche. Dans le cas de cette propriété, on prend un élément de l'intervalle et on calcule directement son symétrique par rapport à \(a\).
si on prend \(x\in\mathcal{D}_f\), alors le symétrique de \(x\) par rapport à \(a\) est le nombre \(x'\) tel que \(a\) soit au milieu de \(x\) et \(x'\) donc \(\dfrac{x+x'}{2}=a\) soit en multipliant par 2 et en passant le \(x\) de l'autre côté, on a \(x'=2a-x\).
Donc on vérifie bien la symétrie de l'intervalle par rapport à \(\dfrac{\pi}{4}\) en regardant si pour tout réel \(x\) de l'intervalle, son symétrique par rapport à \(x\), \(2a-x=\dfrac{\pi}{2}-x\) est aussi dans l'intervalle.
Dans le premier cas on raisonne en terme de rayon autour du centre de symétrie (\(a-x\) et \(a+x\)) alors que dans le deuxième cas, on raisonne en terme d'abscisse du point dans l'intervalle et de son symétrique.
Mais dans les deux cas, on balaie bien l'intégralité de l'intervalle.
			
			
									
									
						oui, c'est la même démarche. Dans le cas de cette propriété, on prend un élément de l'intervalle et on calcule directement son symétrique par rapport à \(a\).
si on prend \(x\in\mathcal{D}_f\), alors le symétrique de \(x\) par rapport à \(a\) est le nombre \(x'\) tel que \(a\) soit au milieu de \(x\) et \(x'\) donc \(\dfrac{x+x'}{2}=a\) soit en multipliant par 2 et en passant le \(x\) de l'autre côté, on a \(x'=2a-x\).
Donc on vérifie bien la symétrie de l'intervalle par rapport à \(\dfrac{\pi}{4}\) en regardant si pour tout réel \(x\) de l'intervalle, son symétrique par rapport à \(x\), \(2a-x=\dfrac{\pi}{2}-x\) est aussi dans l'intervalle.
Dans le premier cas on raisonne en terme de rayon autour du centre de symétrie (\(a-x\) et \(a+x\)) alors que dans le deuxième cas, on raisonne en terme d'abscisse du point dans l'intervalle et de son symétrique.
Mais dans les deux cas, on balaie bien l'intégralité de l'intervalle.
