fonctions usuelles
-
Marie
fonctions usuelles
Bonjour,
Je n'arrive pas à comprendre une dérivation. Je la mets en PJ
Pouvez-vous, s'il vous plait, m'expliquer ?
Merci
Marie
Je n'arrive pas à comprendre une dérivation. Je la mets en PJ
Pouvez-vous, s'il vous plait, m'expliquer ?
Merci
Marie
-
SoS-Math(34)
- Messages : 599
- Enregistré le : ven. 17 nov. 2017 09:31
Re: fonctions usuelles
Bonsoir Marie,
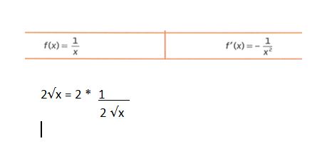
D'après ton cours, la dérivée de la fonction racine carrée définie par f(x)=\(\sqrt{x}\) pour tout téel x supérieur ou égal à 0 a pour dérivée f ' telle que pour tout x>0 : f '(x)=\(\frac{1}{2\sqrt{x}}\).
Par ailleurs, pour tout constante k, la fonction k*u a pour dérivée k*u', alors en appliquant cette propriété avec k = 2 et u la fonction racine carrée, on obtient le résultat affiché pour f ' = 2*u', que tu peux simplifier en \(\frac{1}{\sqrt{x}}\).
Bonne continuation
Sosmaths
D'après ton cours, la dérivée de la fonction racine carrée définie par f(x)=\(\sqrt{x}\) pour tout téel x supérieur ou égal à 0 a pour dérivée f ' telle que pour tout x>0 : f '(x)=\(\frac{1}{2\sqrt{x}}\).
Par ailleurs, pour tout constante k, la fonction k*u a pour dérivée k*u', alors en appliquant cette propriété avec k = 2 et u la fonction racine carrée, on obtient le résultat affiché pour f ' = 2*u', que tu peux simplifier en \(\frac{1}{\sqrt{x}}\).
Bonne continuation
Sosmaths
-
Marie
Re: fonctions usuelles
Merci
Marie
Marie
-
SoS-Math(34)
- Messages : 599
- Enregistré le : ven. 17 nov. 2017 09:31
Re: fonctions usuelles
Avec plaisir.
A bientôt sur le forum
Sosmaths
A bientôt sur le forum
Sosmaths
