dm
-
Marie
dm
bonjour,
voici l'exercice:
ABC est un triangle rectangle en A. O est le milieu de l'hypoténuse [BC].AB=3 et AC=4.
Un point mobile M se déplace en restant sur les côtés, de A vers B, de B vers C, puis de C vers A et s'arrête en A.
On note x la distance qu'il a parcouru à partir de A et on pose OM = .f (x )
Sans calculer OM, sauf pour des positions de M qui permettent un calcul facile, dressez le tableau de variation de f . Vous indiquerez sur la copie tous les calculs effectués et pas seulement le tableau de variation.
Vous pourrez, si vous voulez, construire la figure avec geogebra et regarder ce qui se passe. Il faudra alors fermer le triangle en utilisant la fonction « polygone », puis déplacer le point M sur le polygone.
je ne comprend pas comment on peut faire un tableau de variation sans faire de calcul pouvez vous m'aider?
merci Marie
voici l'exercice:
ABC est un triangle rectangle en A. O est le milieu de l'hypoténuse [BC].AB=3 et AC=4.
Un point mobile M se déplace en restant sur les côtés, de A vers B, de B vers C, puis de C vers A et s'arrête en A.
On note x la distance qu'il a parcouru à partir de A et on pose OM = .f (x )
Sans calculer OM, sauf pour des positions de M qui permettent un calcul facile, dressez le tableau de variation de f . Vous indiquerez sur la copie tous les calculs effectués et pas seulement le tableau de variation.
Vous pourrez, si vous voulez, construire la figure avec geogebra et regarder ce qui se passe. Il faudra alors fermer le triangle en utilisant la fonction « polygone », puis déplacer le point M sur le polygone.
je ne comprend pas comment on peut faire un tableau de variation sans faire de calcul pouvez vous m'aider?
merci Marie
- Fichiers joints
-
Téléchargez la figure ici.
-
SoS-Math(11)
- Messages : 2881
- Enregistré le : lun. 9 mars 2009 18:20
Re: dm
Bonsoir Marie,
Construis le polygone ABC puis redéfini D sur le polygone. Construis le segment DO.
Par une simple observation tu vois si le segment OD "s'allonge" ou "rétrécit" donc si f est croissante ou décroissante.
Bonne continuation
Construis le polygone ABC puis redéfini D sur le polygone. Construis le segment DO.
Par une simple observation tu vois si le segment OD "s'allonge" ou "rétrécit" donc si f est croissante ou décroissante.
Bonne continuation
-
Marie
Re: dm
bonjour,
D a un minimum de 1.5 cm et un maximum de 2.5 cm et maintenant comment puis je prouver que le minimun de (DO) est si cette droite est parallèle à (AB)?
merci Marie
D a un minimum de 1.5 cm et un maximum de 2.5 cm et maintenant comment puis je prouver que le minimun de (DO) est si cette droite est parallèle à (AB)?
merci Marie
-
SoS-Math(11)
- Messages : 2881
- Enregistré le : lun. 9 mars 2009 18:20
Re: dm
Encore moi
Pense que M fait le tour du triangle.
Je suis d'accord avec le maximum mais il y a plusieurs minima.
1,5 quand M est sur [AC] puisque f décroit de 2,5 à 1,5 puis augmente de nouveau jusqu'à 2,5, ce que tu as vu.
Tu dois ensuite étudier OM pour M sur [AB]où le minimum n'est pas 1,5 ; puis étudier M est sur [BC] où le minimum n'est pas 1,5.
Pour démontrer que les minima sont ceux que tu as trouvés, observe le triangle OMB' où B' est le milieu de [AC] quand M est sur [AC].
Fais de même pour le triangle OMC' où C' est le milieu de [AB] quand M est sur [AB].
Pour M sur [BC] c'est sans problème.
Bonne fin d'exercice
sos onze
Pense que M fait le tour du triangle.
Je suis d'accord avec le maximum mais il y a plusieurs minima.
1,5 quand M est sur [AC] puisque f décroit de 2,5 à 1,5 puis augmente de nouveau jusqu'à 2,5, ce que tu as vu.
Tu dois ensuite étudier OM pour M sur [AB]où le minimum n'est pas 1,5 ; puis étudier M est sur [BC] où le minimum n'est pas 1,5.
Pour démontrer que les minima sont ceux que tu as trouvés, observe le triangle OMB' où B' est le milieu de [AC] quand M est sur [AC].
Fais de même pour le triangle OMC' où C' est le milieu de [AB] quand M est sur [AB].
Pour M sur [BC] c'est sans problème.
Bonne fin d'exercice
sos onze
-
Marie
-
SoS-Math(9)
- Messages : 6351
- Enregistré le : mer. 5 sept. 2007 12:10
Re: dm
Bonjour Marie,
Ta figure est incomplète. Le point M parcourt tout le triangle et pas seulement le côté [AC].
De plus M parcourt ABC, de A vers B puis vers C.
Il faut observer ce qu'il se passe lorsque M parcourt [AB] :
x varie de 0 à ...,
f(x) a pour maximum ... pour x = ... et a pour minimum ... pour x = ....
Il reste à obsever ce qui se passe lorsque M parcourt [BC] puis [CA].
Bon courage,
SoSMath.
Ta figure est incomplète. Le point M parcourt tout le triangle et pas seulement le côté [AC].
De plus M parcourt ABC, de A vers B puis vers C.
Il faut observer ce qu'il se passe lorsque M parcourt [AB] :
x varie de 0 à ...,
f(x) a pour maximum ... pour x = ... et a pour minimum ... pour x = ....
Il reste à obsever ce qui se passe lorsque M parcourt [BC] puis [CA].
Bon courage,
SoSMath.
-
Marie
-
SoS-Math(9)
- Messages : 6351
- Enregistré le : mer. 5 sept. 2007 12:10
Re: dm
Bonsoir Marie,
Désolé, mais ton tableau est illisible !
Peut-être, peux-tu faire des phrases à la place du tableau ... Exemple :
Pour x appartenant à [0 ; 1,5] f est décroissante
puis pour x appartenant à [1,5 ; ...] f est ....
SoSMath.
Désolé, mais ton tableau est illisible !
Peut-être, peux-tu faire des phrases à la place du tableau ... Exemple :
Pour x appartenant à [0 ; 1,5] f est décroissante
puis pour x appartenant à [1,5 ; ...] f est ....
SoSMath.
-
Marie
Re: dm
bonjour,
désolée si mon tableau était illisible mais on ne pas ni ajouté des doc. open office, ni word.
maintenant je l'ai fait avec paint mais c'est dur d'écrire donc désolée si c'est mal écrit.
Marie
désolée si mon tableau était illisible mais on ne pas ni ajouté des doc. open office, ni word.
maintenant je l'ai fait avec paint mais c'est dur d'écrire donc désolée si c'est mal écrit.
Marie
-
SoS-Math(9)
- Messages : 6351
- Enregistré le : mer. 5 sept. 2007 12:10
Re: dm
Marie,
Ton tableau semble juste, mais il y a un petit problème : x n'est pas un point !
Donc à la place des point il faut mettre la valeur de x quand il est en A, B ou C...
il faut aussi mettre la valeur de x quand f(x) = 1,5 ou 2.
Bon courage,
SoSMath.
Ton tableau semble juste, mais il y a un petit problème : x n'est pas un point !
Donc à la place des point il faut mettre la valeur de x quand il est en A, B ou C...
il faut aussi mettre la valeur de x quand f(x) = 1,5 ou 2.
Bon courage,
SoSMath.
-
SoS-Math(9)
- Messages : 6351
- Enregistré le : mer. 5 sept. 2007 12:10
Re: dm
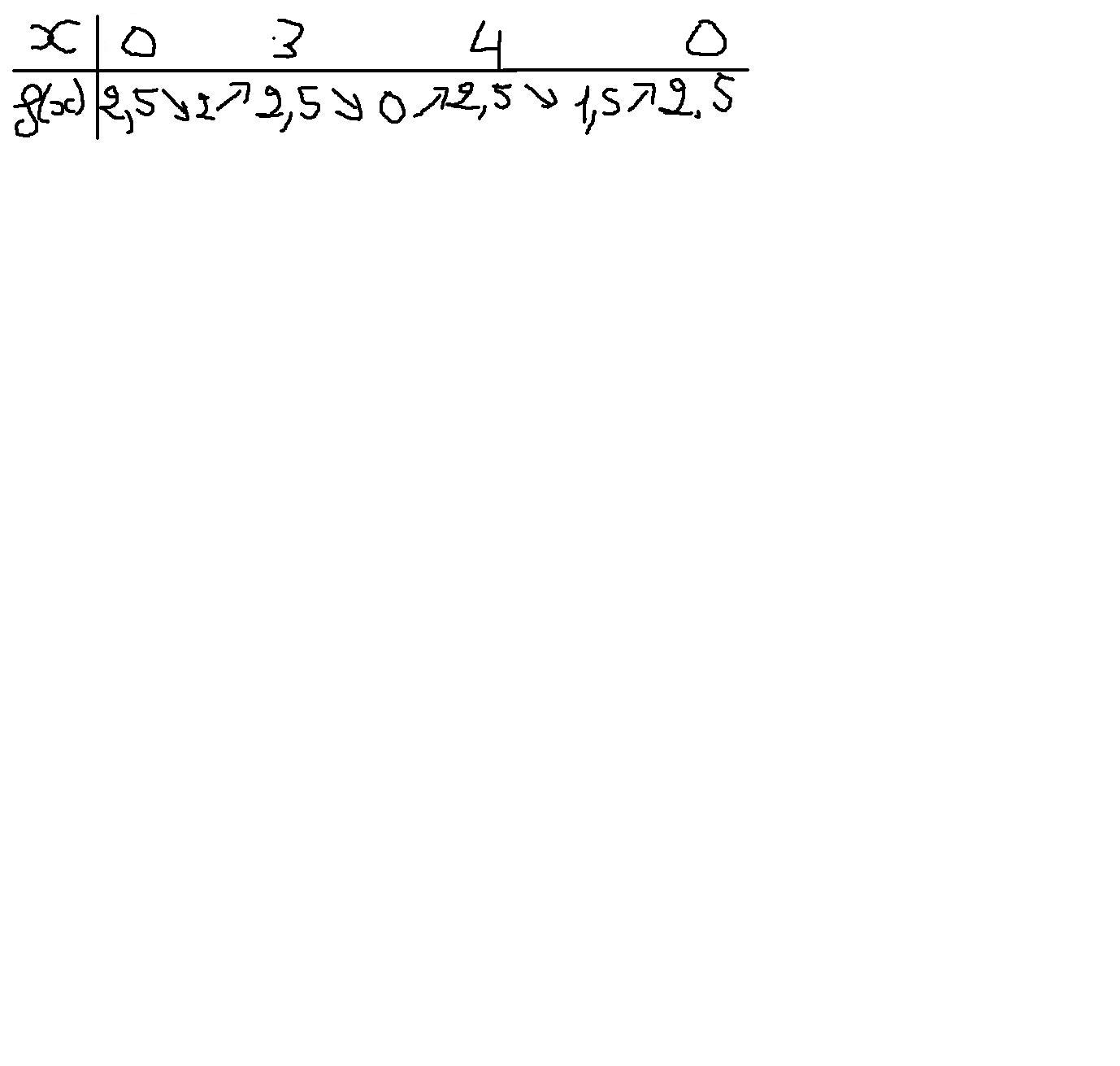
Non, ton tableau est faux ...
Quand M est en A, x=0
quand M est en B, x = 3
quand M est en C, x = 8
quand M est de "retour" en A, x = ...
De plus pour ton 1er minimum M est au milieu de [AB], donc x = ...
SoSMath.
Quand M est en A, x=0
quand M est en B, x = 3
quand M est en C, x = 8
quand M est de "retour" en A, x = ...
De plus pour ton 1er minimum M est au milieu de [AB], donc x = ...
SoSMath.
-
Marie
Re: dm
bonjour,
je ne comprend pas quand vous écrivé:
Quand M est en A, x=0
quand M est en B, x = 3
quand M est en C, x = 8
quand M est de "retour" en A, x = ...
car il faut mesuré [DO] non?
au première tableau vous m'avez mis qu'il était juste sauf une faute et le deuxième (qui est de la même base) est totalement faux!
pouvez vous m'expliquer?
merci Marie
je ne comprend pas quand vous écrivé:
Quand M est en A, x=0
quand M est en B, x = 3
quand M est en C, x = 8
quand M est de "retour" en A, x = ...
car il faut mesuré [DO] non?
au première tableau vous m'avez mis qu'il était juste sauf une faute et le deuxième (qui est de la même base) est totalement faux!
pouvez vous m'expliquer?
merci Marie
-
SoS-Math(9)
- Messages : 6351
- Enregistré le : mer. 5 sept. 2007 12:10
Re: dm
Bonjour Marie,
Tu es un peu excessive ... je n'ai pas dit que ton tableau était complètement faux !
Tu confonds la variable x (=AM) et son image par la fonction f(x) (=OM).
Dans ton tableau, sur la 1ère ligne, tu notes les valeurs de x et sur la 2ème ligne tu notes les variations de f.
Donc quand M est en B, alors x = 3, puis quand M est en C, alors x = 8 et enfin quand M est de retour en A, x = 12.
SoSMath.
Tu es un peu excessive ... je n'ai pas dit que ton tableau était complètement faux !
Tu confonds la variable x (=AM) et son image par la fonction f(x) (=OM).
Dans ton tableau, sur la 1ère ligne, tu notes les valeurs de x et sur la 2ème ligne tu notes les variations de f.
Donc quand M est en B, alors x = 3, puis quand M est en C, alors x = 8 et enfin quand M est de retour en A, x = 12.
SoSMath.
