calcul vectoriel
-
Invité
calcul vectoriel
bonsoir , j'ai un petit souci
jaimerai que vous me donniez quelque explication sur comment on prouve que le vecteur AE= 1/3 du vecteur AB + 1/3 AD
en partant de DE=2/3 du vecteur DI en decomposant les vecteur DE et DI en fonction des vecteur AD AE et AI
merci d'avance
Ivan
jaimerai que vous me donniez quelque explication sur comment on prouve que le vecteur AE= 1/3 du vecteur AB + 1/3 AD
en partant de DE=2/3 du vecteur DI en decomposant les vecteur DE et DI en fonction des vecteur AD AE et AI
merci d'avance
Ivan
-
sos-math(13)
- Messages : 1553
- Enregistré le : mer. 11 mars 2009 15:32
Re: calcul vectoriel
Bonjour Ivan,
il manque beaucoup d'informations.
ABCD est-il un parallélogramme comme semble le suggérer la figure ?
I est-il milieu de [AB] ?
Qu'as-tu déjà essayé de faire ?
Une première idée, qui peut te faciliter la tâche : si tu multiplies par 3 l'égalité à démontrer, tu dois alors prouver que :
\(3\vec{AE}=\vec{AB}+\vec{AD}\)
Il n'y a plus que des coefficients entiers. En général, ça simplifie les calculs.
Et la relation \(\vec{DE}=\frac{2}{3}\vec{DI}\) équivaut quant à elle à \(3\vec{DE}=2\vec{DI}\)
Bon courage, et à bientôt.
il manque beaucoup d'informations.
ABCD est-il un parallélogramme comme semble le suggérer la figure ?
I est-il milieu de [AB] ?
Qu'as-tu déjà essayé de faire ?
Une première idée, qui peut te faciliter la tâche : si tu multiplies par 3 l'égalité à démontrer, tu dois alors prouver que :
\(3\vec{AE}=\vec{AB}+\vec{AD}\)
Il n'y a plus que des coefficients entiers. En général, ça simplifie les calculs.
Et la relation \(\vec{DE}=\frac{2}{3}\vec{DI}\) équivaut quant à elle à \(3\vec{DE}=2\vec{DI}\)
Bon courage, et à bientôt.
-
Invité
Re: calcul vectoriel
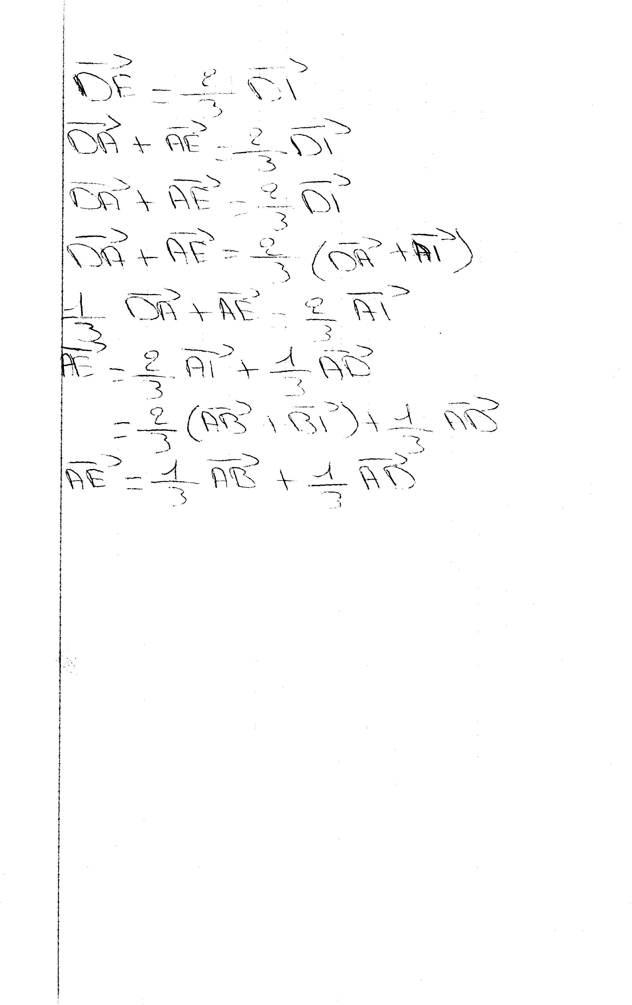
Oui la figure est un parallélogramme et I est bien le milieu de assez
En attendant votre reponse g tenté de prouver l'egaliter pouver vous me corriger svp
j'ai mis que
merci
ivan
En attendant votre reponse g tenté de prouver l'egaliter pouver vous me corriger svp
j'ai mis que
merci
ivan
-
sos-math(13)
- Messages : 1553
- Enregistré le : mer. 11 mars 2009 15:32
Re: calcul vectoriel
Il y a des mots qui en disent long "le milieu de assez"...
Bon, revenons à nos moutons :
tes calculs sont justes (il y a une ligne en double), mais le passage de l'avant dernière à la dernière ne correspond à rien de connu sur la figure.
Il vaut mieux dans l'avant dernière ligne, remplacer \(\vec{AI}\) de celle d'avant par \(\frac{1}{2}\vec{AB}\) plutôt que par \(\vec{AB}+\vec{BI}\).
Et tout ira bien mieux.
Bon courage.
PS : pas très lisible ton scan...
Bon, revenons à nos moutons :
tes calculs sont justes (il y a une ligne en double), mais le passage de l'avant dernière à la dernière ne correspond à rien de connu sur la figure.
Il vaut mieux dans l'avant dernière ligne, remplacer \(\vec{AI}\) de celle d'avant par \(\frac{1}{2}\vec{AB}\) plutôt que par \(\vec{AB}+\vec{BI}\).
Et tout ira bien mieux.
Bon courage.
PS : pas très lisible ton scan...
-
Invité
Re: calcul vectoriel
dsl pour la mauvaise qualité du sacnne
j'aimerais vous posé une dernier question
vous pouvez m'expliquer comment on deduit l'aligne de A,Eet C
merci
ivan
j'aimerais vous posé une dernier question
vous pouvez m'expliquer comment on deduit l'aligne de A,Eet C
merci
ivan
-
sos-math(13)
- Messages : 1553
- Enregistré le : mer. 11 mars 2009 15:32
Re: calcul vectoriel
Si tu trouves deux vecteurs colinéaires formés avec les 3 points en question, par exemple \(\vec{AE}\) et \(\vec{AC}\) alors il y a alignement.
à bientôt.
à bientôt.
